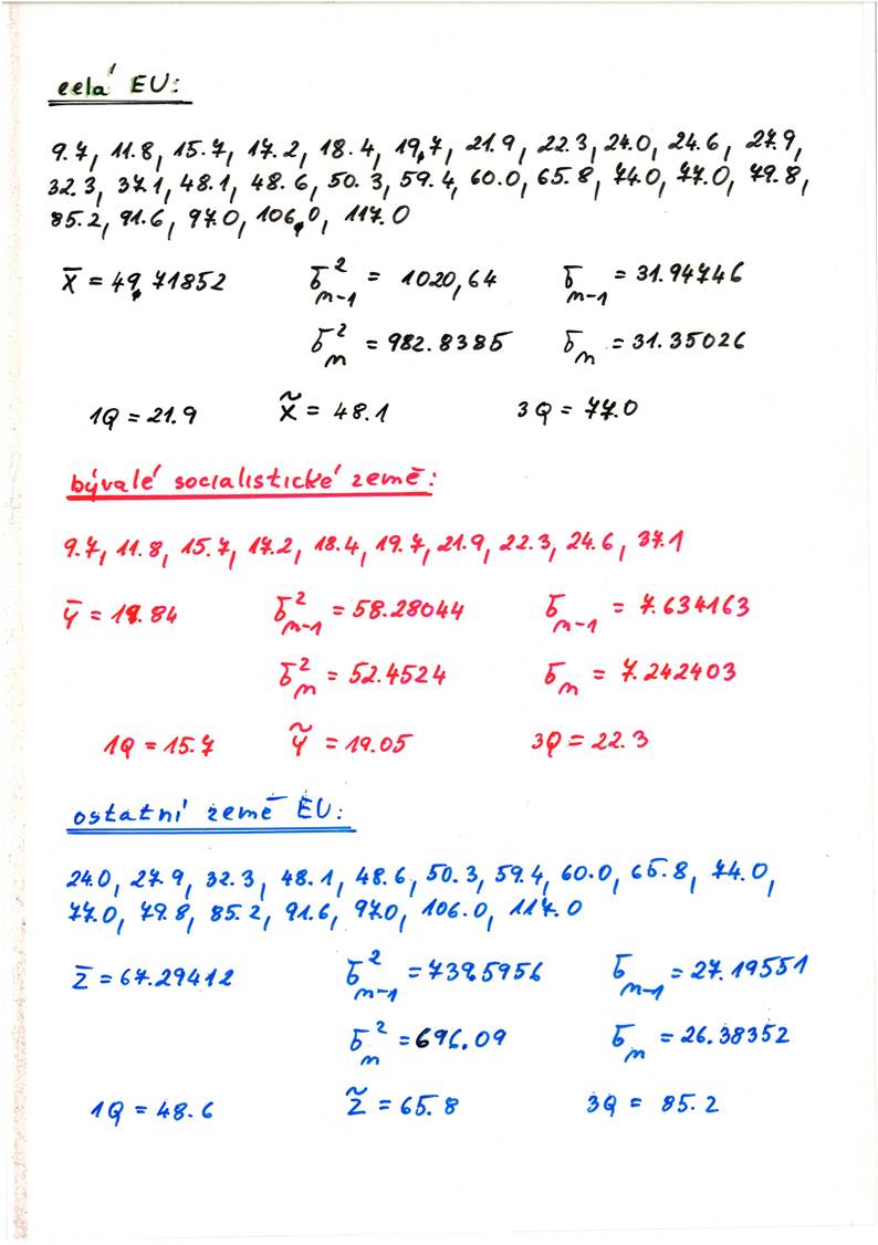
MA3 - Matematika 3